Immár kilencedik alkalommal jár az adventi, karácsonyi és újévi időszakban a fővárosban a fényvillamos.

A karácsonyi fényeket egy három és fél kilométernyi, a villamoskocsikra tekert fényfüzér szolgáltatja, amelynek üzemeltetése naponta csupán 100 forintnyi ráfordítást igényel.

A villamos az idén minden eddiginél több helyre jut el, így a többi között szolgálatot fog teljesíteni az M3-as metrót pótló villamos vonalán is.

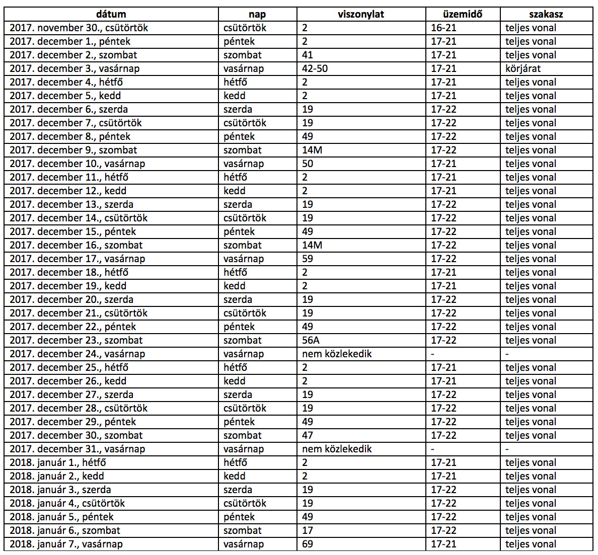
A fényvillamos november 30. és január 7. között, december 24. és 31. kivételével a 2, 14M, 19, 41, 42, 47, 49, 50, 56A, 59 és 69 jelzésű járatok vonalán közlekedik este 17 és 21/22 óra között. A villamoson normál díjszabás mellett lehet utazni.

Elindult a budapesti fényvillamos, itt a menetrend 1